Last updated: 2018-06-04

Code version: 479d555

Loading required package: ashr

UKBioBank Strong data

data = readRDS('../data/UKBioBank/StrongData.rds')

Estimate se based on p values

# Adjust p value == 0
data$p[data$p == 0] = 1e-323
mash.data = mash_set_data(Bhat = data$beta, pval = data$p)

Flash on centered Z

Z = mash.data$Bhat/mash.data$Shat
# column center
Z.center = apply(Z, 2, function(x) x - mean(x, na.rm = TRUE))
flash.data = flash_set_data(Z.center)
fmodel = flash(flash.data, greedy = TRUE, backfit = TRUE)
fitting factor/loading 1
fitting factor/loading 2
fitting factor/loading 3
fitting factor/loading 4
fitting factor/loading 5
fitting factor/loading 6
fitting factor/loading 7
fitting factor/loading 8
fitting factor/loading 9
fitting factor/loading 10
fitting factor/loading 11
fitting factor/loading 12
fitting factor/loading 13
fitting factor/loading 14
fitting factor/loading 15
fitting factor/loading 16
fitting factor/loading 17
fitting factor/loading 18
fitting factor/loading 19
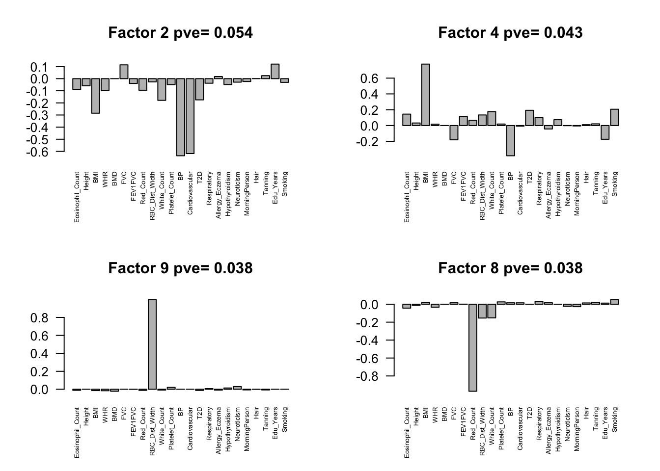
Factors = flash_get_ldf(fmodel)$f
row.names(Factors) = colnames(Z)
pve.order = order(flash_get_pve(fmodel), decreasing = TRUE)
par(mfrow=c(2,2))
for(i in pve.order){
  barplot(Factors[,i], main=paste0('Factor ',i, ' pve= ', round(flash_get_pve(fmodel)[i],3)), las=2, cex.names = 0.5)
}

Flash again on the loading matrix

loading = fmodel$EL[,1:18]
colnames(loading) = paste0('Factor',seq(1,18))
flash.loading = flash_set_data(loading)
flmodel = flash(flash.loading, greedy = TRUE, backfit = TRUE)
fitting factor/loading 1
fitting factor/loading 2
fitting factor/loading 3
fitting factor/loading 4
fitting factor/loading 5
fitting factor/loading 6
fitting factor/loading 7
fitting factor/loading 8
fitting factor/loading 9
fitting factor/loading 10
fitting factor/loading 11
fitting factor/loading 12
fitting factor/loading 13
fitting factor/loading 14
fitting factor/loading 15
fitting factor/loading 16
fitting factor/loading 17
fitting factor/loading 18

Session information

sessionInfo()
R version 3.4.4 (2018-03-15)
Platform: x86_64-apple-darwin15.6.0 (64-bit)
Running under: macOS High Sierra 10.13.4

Matrix products: default
BLAS: /Library/Frameworks/R.framework/Versions/3.4/Resources/lib/libRblas.0.dylib
LAPACK: /Library/Frameworks/R.framework/Versions/3.4/Resources/lib/libRlapack.dylib

locale:
[1] en_US.UTF-8/en_US.UTF-8/en_US.UTF-8/C/en_US.UTF-8/en_US.UTF-8

attached base packages:
[1] stats     graphics  grDevices utils     datasets  methods   base     

other attached packages:
[1] mashr_0.2-10 ashr_2.2-7   flashr_0.5-8

loaded via a namespace (and not attached):
 [1] Rcpp_0.12.17      compiler_3.4.4    pillar_1.2.2     
 [4] git2r_0.21.0      plyr_1.8.4        iterators_1.0.9  
 [7] tools_3.4.4       digest_0.6.15     evaluate_0.10.1  
[10] tibble_1.4.2      gtable_0.2.0      lattice_0.20-35  
[13] rlang_0.2.0       Matrix_1.2-14     foreach_1.4.4    
[16] yaml_2.1.19       parallel_3.4.4    mvtnorm_1.0-7    
[19] ebnm_0.1-11       stringr_1.3.0     knitr_1.20       
[22] rprojroot_1.3-2   grid_3.4.4        rmarkdown_1.9    
[25] rmeta_3.0         ggplot2_2.2.1     magrittr_1.5     
[28] backports_1.1.2   scales_0.5.0      codetools_0.2-15 
[31] htmltools_0.3.6   MASS_7.3-50       assertthat_0.2.0 
[34] softImpute_1.4    colorspace_1.3-2  stringi_1.2.2    
[37] lazyeval_0.2.1    pscl_1.5.2        doParallel_1.0.11
[40] munsell_0.4.3     truncnorm_1.0-8   SQUAREM_2017.10-1

This R Markdown site was created with workflowr