Last updated: 2019-02-17

workflowr checks: (Click a bullet for more information)
  • R Markdown file: up-to-date

    Great! Since the R Markdown file has been committed to the Git repository, you know the exact version of the code that produced these results.

  • Environment: empty

    Great job! The global environment was empty. Objects defined in the global environment can affect the analysis in your R Markdown file in unknown ways. For reproduciblity it’s best to always run the code in an empty environment.

  • Seed: set.seed(20190115)

    The command set.seed(20190115) was run prior to running the code in the R Markdown file. Setting a seed ensures that any results that rely on randomness, e.g. subsampling or permutations, are reproducible.

  • Session information: recorded

    Great job! Recording the operating system, R version, and package versions is critical for reproducibility.

  • Repository version: 1dbbe5a

    Great! You are using Git for version control. Tracking code development and connecting the code version to the results is critical for reproducibility. The version displayed above was the version of the Git repository at the time these results were generated.

    Note that you need to be careful to ensure that all relevant files for the analysis have been committed to Git prior to generating the results (you can use wflow_publish or wflow_git_commit). workflowr only checks the R Markdown file, but you know if there are other scripts or data files that it depends on. Below is the status of the Git repository when the results were generated:
    
    Ignored files:
        Ignored:    .DS_Store
        Ignored:    .Rhistory
        Ignored:    .Rproj.user/
        Ignored:    .sos/
        Ignored:    data/.DS_Store
        Ignored:    output/.DS_Store
    
    Untracked files:
        Untracked:  docs/figure/test.Rmd/
        Untracked:  output/dsc_susie_z_v_output.rds
        Untracked:  output/dscoutProblem475.rds
        Untracked:  output/dscoutProblem75.rds
    
    
    Note that any generated files, e.g. HTML, png, CSS, etc., are not included in this status report because it is ok for generated content to have uncommitted changes.
Expand here to see past versions:
    File Version Author Date Message
    Rmd 1dbbe5a zouyuxin 2019-02-17 wflow_publish(“analysis/SusieZPriorVarCompare.Rmd”)


library(dscrutils)
dscout = dscquery('susie_z_v', target='sim_gaussian.pve sim_gaussian.n_signal sim_gaussian.effect_weight susie_z_uniroot.L susie_z_em.L susie_z_optim.L susie_z_uniroot.optimV_method susie_z_em.optimV_method susie_z_optim.optimV_method score_susie.objective score_susie.converged score_susie.total score_susie.valid susie_z_uniroot.DSC_TIME susie_z_em.DSC_TIME susie_z_optim.DSC_TIME')
colnames(dscout) = c('DSC', 'pve', 'n_signal', 'effect_weight', 'L_uniroot', 'method_uniroot','Time_uniroot', 'L_em', 'method_em', 'Time_em', 'L_optim', 'method_optim', 'Time_optim', 'objective', 'converged', 'total', 'valid')
dscout$effect_weight[which(dscout$effect_weight == 'rep(1/n_signal, n_signal)')] = 'equal'
dscout$effect_weight[which(dscout$effect_weight != 'equal')] = 'notequal'
method = dscout$method_uniroot
method[dscout$method_em == 'EM'] = 'em'
method[dscout$method_optim == 'optim'] = 'optim'
L = dscout$L_uniroot
L[!is.na(dscout$L_em)] = dscout$L_em[!is.na(dscout$L_em)]
L[!is.na(dscout$L_optim)] = dscout$L_optim[!is.na(dscout$L_optim)]
Time = dscout$Time_uniroot
Time[!is.na(dscout$Time_em)] = dscout$Time_em[!is.na(dscout$Time_em)]
Time[!is.na(dscout$Time_optim)] = dscout$Time_optim[!is.na(dscout$Time_optim)]
dscout = cbind(dscout, method, L, Time)
dscout = dscout[, -c(5:13)]
library(dplyr)

Attaching package: 'dplyr'
The following objects are masked from 'package:stats':

    filter, lag
The following objects are masked from 'package:base':

    intersect, setdiff, setequal, union
library(knitr)
library(kableExtra)
dscout = readRDS('output/dsc_susie_z_v_output.rds')

We randomly generate X from N(0,1), n = 1200, p = 1000.

We randomly generate the response based on different number of signals (1, 3, 5, 10), pve (0.01, 0.2, 0.6, 0.8), whether the signals have the same effect size. We fit SuSiE model with L = 5 and 10. We perform simulations to compare three methods uniroot, em and optim. There are 100 replicates in the simulation. Therefore 19200 models in total.

All SuSiE models converge.

sum(dscout$converged)
[1] 19200

Whether fit objectives of EM and optim are higher than that of uniroot?

uniroot.obj = dscout$objective[dscout$method == 'uniroot']
em.obj = dscout$objective[dscout$method == 'em']
optim.obj = dscout$objective[dscout$method == 'optim']
hist(em.obj - uniroot.obj, main='Objective EM-uniroot', breaks=50)

hist(optim.obj - uniroot.obj, main='Objective optim-uniroot', breaks=50)

hist(optim.obj - em.obj, main='Objective optim-em', breaks=50)

Therefore, the objective from the three different methods are similar in most cases. EM and optim obtain much higher objective than uniroot in some cases. In some cases, the difference between objectives from uniroot and optim (or em) is more than 200.

em_uni = optim_uni = optim_em = matrix(NA,1,2)
weight = unique(dscout$effect_weight)
for(j in 1:2){
  tmp = dscout %>% filter(effect_weight == weight[j])
  uniroot.obj = tmp$objective[tmp$method == 'uniroot']
  em.obj = tmp$objective[tmp$method == 'em']
  optim.obj = tmp$objective[tmp$method == 'optim']
  em_uni[1,j] = sum(em.obj > uniroot.obj)/3200
  optim_uni[1,j] = sum(optim.obj > uniroot.obj)/3200
  optim_em[1,j] = sum(optim.obj > em.obj)/3200
}
colnames(em_uni) = colnames(optim_uni) = colnames(optim_em) = paste0('equal_', c('T', 'F'))

Despite the different scenarios in the simulations, the performance of difference methods are different only related to whether the effect size are equal.

The proportion of time the objective of em is higher than uniroot:

em_uni %>% kable() %>% kable_styling()
equal_T equal_F
0.37625 0.483125

The proportion of time the objective of optim is higher than uniroot:

optim_uni %>% kable() %>% kable_styling()
equal_T equal_F
0.564375 0.7584375

The proportion of time the objective of optim is higher than em:

optim_em %>% kable() %>% kable_styling()
equal_T equal_F
0.6896875 0.7371875

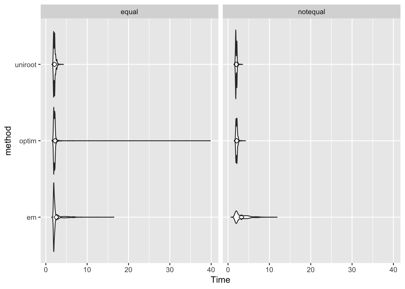
Computing speed

library(ggplot2)
p <- ggplot(dscout, aes(x=method, y=Time)) + facet_wrap(~effect_weight)+ geom_violin(trim = FALSE) + coord_flip() + stat_summary(fun.y=mean, geom="point", shape=23, size=2)
p

Session information

sessionInfo()
R version 3.5.1 (2018-07-02)
Platform: x86_64-apple-darwin15.6.0 (64-bit)
Running under: macOS  10.14.3

Matrix products: default
BLAS: /Library/Frameworks/R.framework/Versions/3.5/Resources/lib/libRblas.0.dylib
LAPACK: /Library/Frameworks/R.framework/Versions/3.5/Resources/lib/libRlapack.dylib

locale:
[1] en_US.UTF-8/en_US.UTF-8/en_US.UTF-8/C/en_US.UTF-8/en_US.UTF-8

attached base packages:
[1] stats     graphics  grDevices utils     datasets  methods   base     

other attached packages:
[1] ggplot2_3.1.0    bindrcpp_0.2.2   kableExtra_1.0.1 knitr_1.20      
[5] dplyr_0.7.8     

loaded via a namespace (and not attached):
 [1] Rcpp_1.0.0        plyr_1.8.4        highr_0.7        
 [4] compiler_3.5.1    pillar_1.3.1      git2r_0.24.0     
 [7] workflowr_1.1.1   bindr_0.1.1       R.methodsS3_1.7.1
[10] R.utils_2.7.0     tools_3.5.1       digest_0.6.18    
[13] gtable_0.2.0      evaluate_0.12     tibble_2.0.1     
[16] viridisLite_0.3.0 pkgconfig_2.0.2   rlang_0.3.1      
[19] rstudioapi_0.9.0  yaml_2.2.0        withr_2.1.2      
[22] stringr_1.3.1     httr_1.4.0        xml2_1.2.0       
[25] hms_0.4.2         grid_3.5.1        webshot_0.5.1    
[28] rprojroot_1.3-2   tidyselect_0.2.5  glue_1.3.0       
[31] R6_2.3.0          rmarkdown_1.11    purrr_0.2.5      
[34] readr_1.3.1       magrittr_1.5      whisker_0.3-2    
[37] backports_1.1.3   scales_1.0.0      htmltools_0.3.6  
[40] assertthat_0.2.0  rvest_0.3.2       colorspace_1.4-0 
[43] labeling_0.3      stringi_1.2.4     lazyeval_0.2.1   
[46] munsell_0.5.0     crayon_1.3.4      R.oo_1.22.0      

This reproducible R Markdown analysis was created with workflowr 1.1.1