Using git effectively


presented by

@derwiki

for Lyft, June 18, 2020

What this presentation is not

  • A cheat-sheet of git commands
  • Walkthroughs for common issues
  • Opinionated about how git fits into your workflow
  • Rather, the goal is to present the internals of git so that you begin to understand the effect of every command you run
  • By "taking the magic" out of git, you'll learn to avoid headache-causing scenarios and how to "undo" almost everything.

What is git?

  • Version control system like SVN, CVS, RCS, mercurial, etc
  • File systems keep track of directories, files, and contents
  • File systems only care about the current state
  • Installing git to part of a filesystem and creating "savepoints" (commits) allows you to easily navigate between different states the filesystem has been in

Controlling git

  • There are only 156 commands ( git help --all )
  • add

    add--interactive

    am

    annotate

    apply

    archimport

    archive

    bisect

    bisect--helper

    blame

    branch

    bundle

    cat-file

    check-attr

    check-ignore

    check-mailmap

    check-ref-format

    checkout

    checkout-index

    cherry

    cherry-pick

    citool

    clean

    clone

    column

    commit

    commit-tree

    config

    count-objects

    credential

    credential-cache

    credential-cache--daemon

    credential-osxkeychain

    credential-store

    cvsexportcommit

    cvsimport

    cvsserver

    daemon

    describe

    diff

    diff-files

    diff-index

    diff-tree

    difftool

    difftool--helper

    fast-export

    fast-import

    fetch

    fetch-pack

    filter-branch

    fmt-merge-msg

    for-each-ref

    format-patch

    fsck

    fsck-objects

    gc

    get-tar-commit-id

    grep

    gui

    gui--askpass

    hash-object

    help

    http-backend

    http-fetch

    http-push

    imap-send

    index-pack

    init

    init-db

    instaweb

    log

    ls-files

    ls-remote

    ls-tree

    mailinfo

    mailsplit

    merge

    merge-base

    merge-file

    merge-index

    merge-octopus

    merge-one-file

    merge-ours

    merge-recursive

    merge-resolve

    merge-subtree

    merge-tree

    mergetool

    mktag

    mktree

    mv

    name-rev

    notes

    p4

    pack-objects

    pack-redundant

    pack-refs

    patch-id

    prune

    prune-packed

    pull

    push

    quiltimport

    read-tree

    rebase

    receive-pack

    reflog

    relink

    remote

    remote-ext

    remote-fd

    remote-ftp

    remote-ftps

    remote-http

    remote-https

    remote-testsvn

    repack

    replace

    request-pull

    rerere

    reset

    rev-list

    rev-parse

    revert

    rm

    send-email

    send-pack

    sh-i18n--envsubst

    shell

    shortlog

    show

    show-branch

    show-index

    show-ref

    stage

    stash

    status

    stripspace

    submodule

    subtree

    svn

    symbolic-ref

    tag

    unpack-file

    unpack-objects

    update-index

    update-ref

    update-server-info

    upload-archive

    upload-pack

    var

    verify-pack

    verify-tag

    web--browse

    whatchanged

    write-tree

  • We're going to cover them all
  • ~20 seconds per command, so let's dive in
jk/lol

Installing git to a directory

  • git init
  • Creates a .git directory in your directory alongside everything else that was there
  • .git contains: the object model, database of the object model, and other project configurations

$ tree .git/

.git
├── COMMIT_EDITMSG
├── HEAD
├── config
├── description
├── hooks
│   ├── pre-commit
├── index
├── info
│   └── exclude
├── logs
│   ├── HEAD
│   └── refs
│       └── heads
│           ├── adam-style-index
│           └── master
├── objects
│   ├── 01
│   │   └── ef3e6630af133b41bd954e220f31231aa281d9

Objects: blobs and trees

  • blob: contents of a file
  • tree: record of a directory in a specific state
  • i.e. list of blobs and trees in the current tree
$ git ls-tree HEAD
100644 blob 050c9d95c7e2ec43e92b19e6719ab522f580a2a8  .gitignore
100644 blob 45e30c639e2eb1c93ee7ca8eb89b120dc6d46391  Gemfile
100644 blob 6136bceb0bbe82b4f5786e003c1e6e5a9fa9d976  Gemfile.lock
100644 blob dd4e97e22e159a585b20e21028f964827d5afa4e  README.rdoc
100644 blob ba6b733dd2358d858f00445ebd91c214f0f5d2e5  Rakefile
040000 tree 9149e8d1f244078f92a48197be0ea0e89feb1df3  app
040000 tree 19b9d6c8a39c3ecc9e985b34af88ab219e07df75  bin
100644 blob bd83b25412305f93fdb0a892aded30e5178899ba  config.ru
040000 tree 395350c15f688e10ef8115eaf609fcfafcf51bea  config
040000 tree 602980f52d9fe985bf9f9ec25c77513b51a42d52  db
040000 tree 07d89d0b7e50929dea0dcf7e7354358c1133be86  lib
040000 tree 29a422c19251aeaeb907175e9b3219a9bed6c616  log
040000 tree 23a3236904020a96c2a827875e3e065213747cda  public
040000 tree 03fb84ec8cc53685767345fd32d53af59762c622  test
040000 tree 8084e8e04d510cc28321f30a9646477cc50c235c  vendor

git show 050c9d95

$ git show 050c9d95 # the SHA1 of .gitignore's blob
# See https://help.github.com/articles/ignoring-files for more
#
# If you find yourself ignoring temporary files generated by
# or operating system, you probably want to add a global ignore
#   git config --global core.excludesfile '~/.gitignore_global'
# Ignore bundler config.
/.bundle
# Ignore the default SQLite database.
/db/*.sqlite3
/db/*.sqlite3-journal
# Ignore all logfiles and tempfiles.
/log/*
!/log/.keep
/tmp

Objects: commits

  • commit: attached to a tree (which is a snapshot of a directory in its current state)
  • Contains metadata: author, when the tree was modified, commit message, etc
  • Only contains information about the current commit
  • i.e. how the tree differs from the tree of the most recent commit
  • Commits contain references to their parents commit(s)
  • You can traverse up parent commits if you need information prior to the current commit

Object relationships

Family tree

Raw commit

$ git show --format=raw
commit 67ee28dcc27ee5ab59061ae47a0b81dd19888274
tree e7dd337b5f247393f9f23e03eef3a176eb32e1a1
parent 78e5e7abdb69d32f886e950b3329fdc0c249f6dd
author Adam Derewecki  1427591530 -0700
committer Adam Derewecki  1427591530 -0700
    Initial db/schema.rb

diff --git a/db/schema.rb b/db/schema.rb new file mode 100644 index 0000000..9affc04 --- /dev/null +++ b/db/schema.rb @@ -0,0 +1,24 @@ +# encoding: UTF-8 +# This file is auto-generated from the current state of the +# of editing this file, please use the migrations feature of +# incrementally modify your database, and then regenerate

SHA-1 hashes

  • Hashing algorithm used to identify all objects based on contents
  • Operations that update a referencing SHA-1:
  • blob: changing file contents
  • tree: adding/removing a subtree, changing file contents
  • commit: changing any tree or commit metadata

Raw commit

$ git show --format=raw | head -n 7

commit 67ee28dcc27ee5ab59061ae47a0b81dd19888274 tree e7dd337b5f247393f9f23e03eef3a176eb32e1a1 parent 78e5e7abdb69d32f886e950b3329fdc0c249f6dd author Adam Derewecki 1427591530 -0700 committer Adam Derewecki 1427591530 -0700 Initial db/schema.rb
$ git commit --amend -m "Initial db/schema.rb (revised)"
[adam/style-index b7eabfc] Initial db/schema.rb (revised) Date: Sat Mar 28 18:12:10 2015 -0700 1 file changed, 24 insertions(+) create mode 100644 db/schema.rb
$ git show --format=raw | head -n 7
commit b7eabfc8b46f259eee072cb6c79595452b72331b tree e7dd337b5f247393f9f23e03eef3a176eb32e1a1 parent 78e5e7abdb69d32f886e950b3329fdc0c249f6dd author Adam Derewecki 1427591530 -0700 committer Adam Derewecki 1427610295 -0700 Initial db/schema.rb (revised)

Pointers

  • HEAD: pointer to the currently checked out commit
  • i.e. the head of the current branch
  • HEAD~1: the first parent of HEAD
  • HEAD~2: the first parent's first parent
  • HEAD^: the first parent of HEAD
  • HEAD^2: the second parent of HEAD
  • $ cat .git/HEAD
    ref: refs/heads/master
    $ cat .git/refs/heads/master
    67ee28dcc27ee5ab59061ae47a0b81dd19888274
    $ git rev-parse HEAD
    67ee28dcc27ee5ab59061ae47a0b81dd19888274

Pointers

$ g rev-parse HEAD~^~^
54608ed74485f71ea6781810d8af56ee8b192673
$ g rev-parse HEAD~~~~
54608ed74485f71ea6781810d8af56ee8b192673
$ g rev-parse HEAD~4
54608ed74485f71ea6781810d8af56ee8b192673
$ g rev-parse origin/master~4
54608ed74485f71ea6781810d8af56ee8b192673
$ g rev-parse origin/master^^^^
54608ed74485f71ea6781810d8af56ee8b192673

Branch pointers

  • $ git branch -v
      adam/style-index ddf0c20 Add styling to tweet#index
      grant/style-new  28bbd41 Convert tweet#new, tweet#form
    * master           2c75ffc Initial db/schema.rb
  • $ tree .git/refs/heads/
    .git/refs/heads/
    ├── adam
    │   └── style-index
    ├── grant
    │   └── style-new
    └── master
    $ cat .git/refs/heads/master
    2c75ffc1b6c0f5e4a8265bac78ba0640e236cc86
  • git checkout -b $newbranch
  • Creates branch $newbranch from current HEAD

Fast-forwards

  • e.g. your local master is 5 commits behind origin/master
  • To update your local master, you can fast-forward to origin/master
  • git pull --ff-only [origin [master]]

Moving backwards with reset

  • e.g. moving backwards two commits
  • git reset master^^
  • Only changes HEAD
  • The changes contained in commits 'a' and 'b' are now un-staged changes

git reset HEAD^^

$ git status
On branch master
nothing to commit, working directory clean

$ git log --oneline 67ee28d (HEAD, master) Initial db/schema.rb 78e5e7a Add scaffolding for Tweet 2328d04 Add bootstrap, haml, remove spring 9ba1482 rails new TwitterClone
$ git reset HEAD^^ Unstaged changes after reset: M config/routes.rb
$ git log --oneline 2328d04 (HEAD, master) Add bootstrap, haml, remove spring 9ba1482 rails new TwitterClone
$ git status On branch master Changes not staged for commit: (use "git add ..." to update what will be committed) (use "git checkout -- ..." to discard changes in working directory) modified: config/routes.rb
Untracked files: (use "git add ..." to include in what will be committed) app/assets/stylesheets/tweets.scss app/controllers/tweets_controller.rb app/models/tweet.rb app/views/tweets/ db/migrate/ db/schema.rb

git reset --hard

  • Moves HEAD and discards changes, instead of leaving them in working tree
  • $ git log --oneline
    bc9f9f5 (HEAD, master) Remove comments from Gemfile
    6c8cd70 Add bootstrap to and scss'ed application.scss
    67ee28d Initial db/schema.rb
    78e5e7a Add scaffolding for Tweet
    2328d04 Add bootstrap, haml, remove spring
    9ba1482 rails new TwitterClone
    
    $ git reset --hard HEAD^^ HEAD is now at 67ee28d Initial db/schema.rb
    $ git log --oneline 67ee28d (HEAD, master) Initial db/schema.rb 78e5e7a Add scaffolding for Tweet 2328d04 Add bootstrap, haml, remove spring 9ba1482 rails new TwitterClone
    $ git status On branch master nothing to commit, working directory clean

git reset --hard

  • Can be used to reset to any arbitrary commit
  • Reliable way to set any branch to origin's master
  • $ git fetch origin
    Fetching repository, done.
    
    $ git reset --hard origin/master HEAD is now at 67ee28d Initial db/schema.rb
  • git reset --hard SHA1 is equivalent to git reset SHA1 && git clean -xdf

Working tree

  • Tree object that represents the current state of the filesystem
  • If there are no changes from the most recent commit, the working tree is the same as the commit's tree
  • git diff to view differences between the most recent commit's tree and the working tree
  • $ git diff
    diff --git a/Gemfile b/Gemfile
    index 45e30c6..c20f939 100644
    --- a/Gemfile
    +++ b/Gemfile
    @@ -1,47 +1,22 @@
     source 'https://rubygems.org'
    -
    -# Bundle edge Rails instead: gem 'rails', github: 'rails/rails'
     gem 'rails', '4.2.0'
    -# Use sqlite3 as the database for Active Record
     gem 'sqlite3'
    -# Use SCSS for stylesheets
     gem 'sass-rails', '~> 5.0'
    -# Use Uglifier as compressor for JavaScript assets
     gem 'uglifier', '>= 1.3.0'
    -# Use CoffeeScript for .coffee assets and views
     gem 'coffee-rails', '~> 4.1.0'
    -# See https://github.com/sstephenson/execjs#readme for more supported runtimes
    -# gem 'therubyracer', platforms: :ruby
     group :production do
       gem 'pg'
     end

Index / staging area

  • Work tree: the tree of in progress changes that are currently ahead of the most recent commit
  • Index: a "staging area" between the work tree and the most recent commit
  • Used to prepare the next commit
  • Stage entire file/directory:
  • git add foo/ bar.py

git add --patch

$ git add --patch
diff --git a/app/assets/stylesheets/application.scss b/app/assets/stylesheets/application.scss
index f9cd5b3..298db72 100644
--- a/app/assets/stylesheets/application.scss
+++ b/app/assets/stylesheets/application.scss
@@ -13,3 +13,4 @@
  *= require_tree .
  *= require_self
  */
+@import "bootstrap";

Stage this hunk [y,n,q,a,d,/,e,?]? ? y - stage this hunk n - do not stage this hunk q - quit; do not stage this hunk or any of the remaining ones a - stage this hunk and all later hunks in the file d - do not stage this hunk or any of the later hunks in the file g - select a hunk to go to / - search for a hunk matching the given regex j - leave this hunk undecided, see next undecided hunk J - leave this hunk undecided, see next hunk k - leave this hunk undecided, see previous undecided hunk K - leave this hunk undecided, see previous hunk s - split the current hunk into smaller hunks e - manually edit the current hunk ? - print help @@ -13,3 +13,4 @@ *= require_tree . *= require_self */ +@import "bootstrap";

Inspecting the index

$ git status
On branch master
Changes to be committed:
  (use "git reset HEAD ..." to unstage)
        renamed:    app/assets/stylesheets/application.css -> app/assets/stylesheets/application.scss
Untracked files:
  (use "git add ..." to include in what will be committed)
        untracked-file

$ git diff --cached diff --git a/app/assets/stylesheets/application.css b/app/assets/stylesheets/application.css deleted file mode 100644 index f9cd5b3..0000000 --- a/app/assets/stylesheets/application.css +++ /dev/null @@ -1,15 +0,0 @@ diff --git a/app/assets/stylesheets/application.scss b/app/assets/stylesheets/application.scss new file mode 100644 index 0000000..298db72 --- /dev/null +++ b/app/assets/stylesheets/application.scss @@ -0,0 +1,16 @@ +@import "bootstrap";

Creating a commit

  • Stage files and hunks with git add and git add --patch
  • git commit -m "My commit message"
  • Open your editor and include the comments of the commit's tree:
  • git commit -v

git commit -v

Remove comments from Gemfile
# Please enter the commit message for your changes. Lines starting
# with '#' will be ignored, and an empty message aborts the commit.
# On branch master
# Changes to be committed:
# modified:   Gemfile
#
# ------------------------ >8 ------------------------
# Do not touch the line above.
# Everything below will be removed.
diff --git a/Gemfile b/Gemfile
index 45e30c6..c20f939 100644
--- a/Gemfile
+++ b/Gemfile
@@ -1,47 +1,22 @@
 source 'https://rubygems.org'
-
-# Bundle edge Rails instead: gem 'rails', github: 'rails/rails'
 gem 'rails', '4.2.0'
-# Use sqlite3 as the database for Active Record
 gem 'sqlite3'
-# Use SCSS for stylesheets
 gem 'sass-rails', '~> 5.0'
-# Use Uglifier as compressor for JavaScript assets
 gem 'uglifier', '>= 1.3.0'
-# Use CoffeeScript for .coffee assets and views
 gem 'coffee-rails', '~> 4.1.0'
-# See https://github.com/sstephenson/execjs#readme for more supported runtimes
-# gem 'therubyracer', platforms: :ruby
 group :production do
   gem 'pg'
 end

git rebase --interactive

  • Re-write history: reorder commits, edit commits in the past, remove commits
  • Any time you change a commit, you change its SHA-1
  • Which means its children need to be re-written to point to the new SHA-1
  • Invoked with a base commit-ish to work from, presents a list of all commits more recent than the base commit

git rebase --interactive

$ git log --oneline
* bc9f9f5 (HEAD, master) Remove comments from Gemfile
* 6c8cd70 Add bootstrap to and scss'ed application.scss
* 67ee28d Initial db/schema.rb
* 78e5e7a Add scaffolding for Tweet
* 2328d04 Add bootstrap, haml, remove spring
* 9ba1482 rails new TwitterClone

$ git rebase -i 2328d04 # before pick 78e5e7a Add scaffolding for Tweet pick 67ee28d Initial db/schema.rb pick 6c8cd70 Add bootstrap to and scss'ed application.scss pick bc9f9f5 Remove comments from Gemfile
# after pick 78e5e7a Add scaffolding for Tweet fixup 67ee28d Initial db/schema.rb pick bc9f9f5 Remove comments from Gemfile pick 6c8cd70 Add bootstrap to and scss'ed application.scss
# Rebase 2328d04..bc9f9f5 onto 2328d04 # # Commands: # p, pick = use commit # r, reword = use commit, but edit the commit message # e, edit = use commit, but stop for amending # s, squash = use commit, but meld into previous commit # f, fixup = like "squash", but discard this commit's log message # x, exec = run command (the rest of the line) using shell # # These lines can be re-ordered; they are executed from top to bottom. # If you remove a line here THAT COMMIT WILL BE LOST. # However, if you remove everything, the rebase will be aborted. # Note that empty commits are commented out

git rebase --interactive

  • # before
    $ git log --oneline
    bc9f9f5 (HEAD, master) Remove comments from Gemfile
    6c8cd70 Add bootstrap to and scss'ed application.scss
    67ee28d Initial db/schema.rb
    78e5e7a Add scaffolding for Tweet
    2328d04 Add bootstrap, haml, remove spring
    9ba1482 rails new TwitterClone
    
    # after $ git log --oneline 61b6221 (HEAD, master) Add bootstrap to and scss'ed application.scss 74788ff Remove comments from Gemfile acb9b7f Add scaffolding for Tweet 2328d04 Add bootstrap, haml, remove spring 9ba1482 rails new TwitterClone
  • After saving/quitting from git rebase -i, the SHA-1 of "Add scaffolding for Tweet" and every child of that has been updated

When and when not to rewrite history

  • Do: use it to organize your commits in your local branch
  • Don't: rewrite history of a public branch
  • Especially don't: rewrite history of master
  • Although do: rewrite master if you need to remove confidential information from the repo

Where did the commits go?

  • After rewriting history with git rebase -i, our code changes now have different SHA-1s
  • "Old" commits are still in the object model (.git/objects)
  • Unless referenced in another branch, considered a "dangling commit"
  • Enumerate dangling objects
    $ git fsck --full
    Checking object directories: 100% (256/256), done.
    dangling commit 1697714d585a6273efc98042eb3041c272d83377
    dangling blob a84806f040fbaad43f7bb5bc506b6a32575abe89
  • Stays in object model until you run:
    git reflog expire --expire=now --all
    git gc --prune=now

git reflog

  • Mechanism to record when the tip of branches are updated
  • $ git reflog
    bc9f9f5 (HEAD, master) HEAD@{0}: reset: moving to bc9f9f5
    acb9b7f HEAD@{1}: reset: moving to HEAD^^
    61b6221 HEAD@{2}: rebase -i (finish): returning to refs/heads/master
    61b6221 HEAD@{3}: rebase -i (pick): Add bootstrap to and scss'ed application.scss
    74788ff HEAD@{4}: rebase -i (pick): Remove comments from Gemfile
    acb9b7f HEAD@{5}: rebase -i (fixup): Add scaffolding for Tweet
    78e5e7a HEAD@{6}: rebase -i (start): checkout 2328d04
    bc9f9f5 (HEAD, master) HEAD@{7}: commit: Remove comments from Gemfile
    6c8cd70 HEAD@{8}: reset: moving to 6c8cd70
    67ee28d HEAD@{9}: reset: moving to HEAD^
    6c8cd70 HEAD@{10}: commit: Add bootstrap to and scss'ed application.scss
    67ee28d HEAD@{11}: reset: moving to 67ee28d
    2328d04 HEAD@{12}: reset: moving to HEAD^^
    67ee28d HEAD@{13}: checkout: moving from grant/style-new to master
    28bbd41 (grant/style-new) HEAD@{14}: commit: Convert tweet#new, tweet#form to Bootstrap
    67ee28d HEAD@{15}: checkout: moving from master to grant/style-new
    67ee28d HEAD@{16}: checkout: moving from adam/style-index to master
    ddf0c20 (adam/style-index) HEAD@{17}: commit: Add styling to tweet#index
    67ee28d HEAD@{18}: reset: moving to master
    b7eabfc HEAD@{19}: commit (amend): Initial db/schema.rb (revised)
    67ee28d HEAD@{20}: checkout: moving from master to adam/style-index
    67ee28d HEAD@{21}: commit: Initial db/schema.rb
    78e5e7a HEAD@{22}: commit: Add scaffolding for Tweet
    2328d04 HEAD@{23}: commit: Add bootstrap, haml, remove spring
    9ba1482 HEAD@{24}: commit (initial): rails new TwitterClone

Dealing with merge conflicts

  • Two branches from master each with one commit
  • To merge a, master is simply fast-forwarded to a
  • git checkout master ; git merge --ff-only a

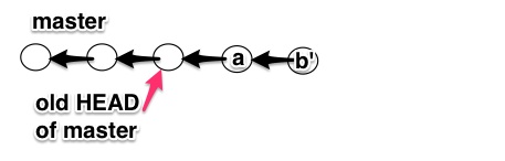
Dealing with merge conflicts

  • This works because the parent of a is the same in the branch and master
  • What about b?
  • b's parent was the old head of master, but now we need b's parent to be the new head of master, which is a
  • Two solutions: merge commit or rebase

Merge commits

  • git checkout master && git merge --no-ff b
  • Because a was merged into master, master is no longer a direct ancestor of b (like it was when the branch was created)
  • git performs a 3-way merge, using the closest common ancestor and the two trees associated master and b
  • The resulting merge commit has two parents: a and b

Merge commits

$ git branch -v
  adam/style-index ddf0c20 Add styling to tweet#index
* master           bc9f9f5 Remove comments from Gemfile

$ git log --oneline bc9f9f5 (HEAD, master) Remove comments from Gemfile 6c8cd70 Add bootstrap to and scss'ed application.scss 67ee28d Initial db/schema.rb 78e5e7a Add scaffolding for Tweet 2328d04 Add bootstrap, haml, remove spring 9ba1482 rails new TwitterClone
$ git log --oneline adam/style-index ddf0c20 (adam/style-index) Add styling to tweet#index 67ee28d Initial db/schema.rb 78e5e7a Add scaffolding for Tweet 2328d04 Add bootstrap, haml, remove spring 9ba1482 rails new TwitterClone
$ git merge --no-ff adam/style-index Merge made by the 'recursive' strategy. app/views/tweets/index.html.haml | 32 +++++++++++--------------------- 1 file changed, 11 insertions(+), 21 deletions(-)
$ git show --format=raw commit d9010f8f6f9e82360089a28d7402f94c4c969c4b tree b33431aa9e4bf5e7c28dc40ea81565fb69c8b245 parent bc9f9f554e8491fe1c71de0ae21d1d194314f611 parent ddf0c201a8d3c584d87a519b10348baaf325b131 author Adam Derewecki 1427692665 -0700 committer Adam Derewecki 1427692665 -0700
Merge branch 'adam/style-index'

Merge commits

$ git log --oneline --graph
*   d9010f8 (HEAD, master) Merge branch 'adam/style-index'
|\
| * ddf0c20 (adam/style-index) Add styling to tweet#index
* | bc9f9f5 Remove comments from Gemfile
* | 6c8cd70 Add bootstrap to and scss'ed application.scss
|/
* 67ee28d Initial db/schema.rb
* 78e5e7a Add scaffolding for Tweet
* 2328d04 Add bootstrap, haml, remove spring
* 9ba1482 rails new TwitterClone
  • Two commits in the left branch (master)
  • One commit in the right branch (topic branch adam/style-index)
  • d9010f8 is the merge commit that 'ties' the two branches together

Rebasing

  • Merge commits are non-destructive; they don't rewrite history
  • Rebasing rewinds your changes and replays them on the updated upstream head
  • Rebasing is destructive; all the commits you replay will change their parent references, which will in turn change their SHA-1s

Rebasing

$ git branch -v
  adam/style-index ddf0c20 Add styling to tweet#index
  grant/style-new  28bbd41 Convert tweet#new, tweet#form to Bootstrap
* master           bc9f9f5 Remove comments from Gemfile

$ git checkout adam/style-index Switched to branch 'adam/style-index'
$ git log --oneline ddf0c20 (HEAD, adam/style-index) Add styling to tweet#index 67ee28d Initial db/schema.rb 78e5e7a Add scaffolding for Tweet 2328d04 Add bootstrap, haml, remove spring 9ba1482 rails new TwitterClone
$ git rebase master First, rewinding head to replay your work on top of it... Applying: Add styling to tweet#index
$ git log --oneline 36dd035 (HEAD, adam/style-index) Add styling to tweet#index bc9f9f5 (master) Remove comments from Gemfile 6c8cd70 Add bootstrap to and scss'ed application.scss 67ee28d Initial db/schema.rb 78e5e7a Add scaffolding for Tweet 2328d04 Add bootstrap, haml, remove spring 9ba1482 rails new TwitterClone

git cherry-pick

git log --oneline
ddf0c20 (HEAD, adam/style-index) Add styling to tweet#index
67ee28d Initial db/schema.rb
78e5e7a Add scaffolding for Tweet
2328d04 Add bootstrap, haml, remove spring
9ba1482 rails new TwitterClone

$ git checkout master Switched to branch 'master'
$ git cherry-pick adam/style-index [master 2c75ffc] Add styling to tweet#index 1 file changed, 15 insertions(+), 25 deletions(-) rewrite app/views/tweets/index.html.haml (91%)
$ git log --oneline 2c75ffc (HEAD, master) Add styling to tweet#index bc9f9f5 Remove comments from Gemfile 6c8cd70 Add bootstrap to and scss'ed application.scss 67ee28d Initial db/schema.rb 78e5e7a Add scaffolding for Tweet 2328d04 Add bootstrap, haml, remove spring 9ba1482 rails new TwitterClone

Cherry picking and interactive rebasing

  • With git rebase -i, we saw a list of commits with pick as the default action
  • You can start an interactive rebase and add any new commits you want as pick
  • cherry-pick is a special-case shortcut for when you only have one commit you want to merge in

Rebasing when you're working on a WIP branch

  • Sometimes you need to work on-top of someone's branch that hasn't been merged into master
  • What happens after it merges?
  • Use git rebase -i commit-ish to squash your commits (ahead of the branch point) into one commit
  • cherry-pick your squashed commit into a new branch pointed at origin/master
  • Or instead of squash- ing, rebase -i HEAD^ and add N pick SHA1 lines for N commits in your branch to rebase on-top of master

Command summary

git help --all

git init

git ls-tree HEAD

git show --format=raw

git rev-parse HEAD

git branch -v

git checkout -b $newbranch

git pull --ff-only [origin [master]]

git log --oneline

git log --oneline --graph

git reset HEAD^^

git reset --hard HEAD^^

git fetch origin

git reset --hard origin/master

git clean -xdf

git add --patch

git diff --cached

git commit -v

git rebase -i $commit-ish

git fsck --full

git reflog expire --expire=now --all

git gc --prune=now

git reflog

git merge --ff-only $commit-ish

git merge -no-ff $commit-ish

git cherry-pick $commit-ish

  • Help via man git-$command, e.g. man git-rebase

.gitconfig

[log]
decorate = short
# adds branches, references to git-log

[rerere]
enabled = true
# Reuse recorded resolution of conflicted merges
# see `man git-rerere'

[apply]
whitespace = fix
# automagically fix whitespace
# see `man git-apply' for other options

.gitconfig

[help]
autocorrect = 10
# derwiki:~/src/presentation-git[master]$ git lgo
            # WARNING: You called a Git command named 'lgo', which does not exist.
            # Continuing under the assumption that you meant 'log'
            # in 1.0 seconds automatically...

.gitconfig

[alias]
st = status
ss = status --short
ci = commit
co = checkout
patch = add --patch
amend = commit --amend
staged = diff --cached
sha1 = rev-parse HEAD
abbrev = rev-parse --short HEAD
ma = checkout master

.gitconfig

[alias]
ph = push origin HEAD
# push HEAD on the current branch to the branch on origin

rom = rebase origin/master

from = !sh -c 'git fetch origin && git rebase origin/master' -

resom = !sh -c 'git fetch origin && git checkout master && git reset --hard origin/master' -

.gitconfig

[alias]
oneline = log --oneline
# e14d631 (HEAD, origin/master, origin/HEAD, master) Merge branch 'maint'
            # 0f64a5a Merge branch 'rr/misc-fixes'
            # ef563de convert.c: Fix return type of git_path_check_eol()
            # 1e501a7 (origin/maint) documentation fix: git difftool uses diff tools, not merge tools.
            # 05bab3e config.c: Fix a static buffer overwrite bug by avoiding mkpath()
            # 3a81f33 t5501-*.sh: Fix url passed to clone in setup test
graph = log --oneline --graph
# *   e14d631 (HEAD, origin/master, origin/HEAD, master) Merge branch 'maint'
            # |\
            # | * 1e501a7 (origin/maint) documentation fix: git difftool uses diff tools, not merge tools.
            # * |   0f64a5a Merge branch 'rr/misc-fixes'
            # |\ \
            # | * | ef563de convert.c: Fix return type of git_path_check_eol()
            # * | | 05bab3e config.c: Fix a static buffer overwrite bug by avoiding mkpath()
            # * | | 3a81f33 t5501-*.sh: Fix url passed to clone in setup test
ten = log --oneline --graph -10

git diff / git apply

$ git diff
diff --git a/index.html b/index.html
index 162dcce..dcd4742 100644
--- a/index.html
+++ b/index.html
@@ -991,7 +991,7 @@
           <h5>presented by</h5>
           <h4>@derwiki</h4>
           <h4></h4>
-          <h4>for Lyft, December 12, 2017</h4>
+          <h4>for Lyft, June 18, 2020</h4>
         </section>
       </div>
$ git diff > patch.diff
$ git checkout .
Updated 1 path from the index
$ git status
On branch master
Untracked files:
  (use "git add <file>..." to include in what will be committed)
        patch.diff

nothing added to commit but untracked files present (use "git add" to track) $ git apply patch.diff $ git diff diff --git a/index.html b/index.html index 162dcce..dcd4742 100644 --- a/index.html +++ b/index.html @@ -991,7 +991,7 @@ <h5>presented by</h5> <h4>@derwiki</h4> <h4></h4> - <h4>for Lyft, December 12, 2017</h4> + <h4>for Lyft, June 18, 2020</h4> </section> </div>

Additional resources

  • https://git-scm.com/book/en/v2/Git-Internals-Git-Objects
  • man git-{commit,status,push,etc}
  • https://www.destroyallsoftware.com/screencasts/catalog/history-spelunking-with-unix
  • https://tbaggery.com/2008/04/19/a-note-about-git-commit-messages.html
  • https://stevelosh.com/blog/2013/04/git-koans/

Using git effectively


presented by

@derwiki

for Lyft, December 12, 2017