Good Bye 2020
前言
虽然小号上分了,但我很伤心,因为……..
我放假能不能上紫呢!?
题解
A. Bovine Dilemma
暴力枚举水题。
B. Last minute enhancements
贪心水题。
C. Canine poetry
考虑长度为2,3的回文串,然后用一个数组维护字符是否被修改过。
scanf("%s",s+1);int n=strlen(s+1),ans=0;
mst(vis,0);for(int i=1;i<=n;i++){
int f=0;
if(s[i]==s[i-1]&&!vis[i-1]) f=1;
if(i>=2&&s[i]==s[i-2]&&!vis[i-2]) f=1;
ans+=(vis[i]=f);
}printf("%d\n",ans);
D. 13th Labour of Heracles
贪心,用优先队列维护度数大于1的,权越大在前面,权相同按度数排。
#include<bits/stdc++.h>
using namespace std;
typedef long long ll;
const int N=1e5+5,M=2e4+5,inf=0x3f3f3f3f,mod=1e9+7;
#define mst(a,b) memset(a,b,sizeof a)
#define PII pair<int,int>
#define fi first
#define se second
#define pb push_back
int n;
ll a[N],ans[N];
int deg[N];
struct node{
ll x,y;
bool operator<(const node&no)const{
return x==no.x?y<no.y:x<no.x;
}
};
int main(){
int t;scanf("%d",&t);
while(t--){
scanf("%d",&n);mst(deg,0);
priority_queue<node>q;
ll s=0;for(int i=1;i<=n;i++) scanf("%lld",&a[i]),s+=a[i];
for(int i=1;i<n;i++){
int u,v;scanf("%d%d",&u,&v);
deg[u]++,deg[v]++;
}
for(int i=1;i<=n;i++){
if(deg[i]>1) q.push({a[i],(ll)deg[i]});
}
int cnt=n-2;printf("%lld",s);
while(cnt--){
node u=q.top();
s+=u.x;
printf(" %lld",s);
if(u.y==2){
q.pop();
}
else {
q.pop();
q.push({u.x,u.y-1});
}
}printf("\n");
}
return 0;
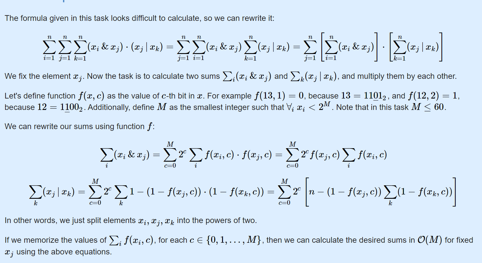
}E. Apollo versus Pan
按位计算贡献,题解说的很明白了。
#include<bits/stdc++.h>
using namespace std;
typedef long long ll;
const int N=5e5+5,M=60,inf=0x3f3f3f3f,mod=1e9+7;
#define mst(a,b) memset(a,b,sizeof a)
#define PII pair<int,int>
#define fi first
#define se second
#define pb push_back
int t,n;
ll a[N],w[65];
int main(){
scanf("%d",&t);
while(t--){
scanf("%d",&n);
for(int i=0;i<60;i++) w[i]=0;
for(int i=1;i<=n;i++){
scanf("%lld",&a[i]);
for(int j=0;j<M;j++) w[j]+=a[i]>>j&1;
}
ll ans=0;
for(int i=1;i<=n;i++){
ll Xor=0,And=0;
for(int j=0;j<M;j++){
if(a[i]>>j&1){
And+=(1LL<<j)%mod*w[j];
Xor+=(1LL<<j)%mod*n;
And%=mod,Xor%=mod;
}else Xor+=(1LL<<j)%mod*w[j],Xor%=mod;
}
ans=(ans+Xor*And%mod)%mod;
}printf("%lld\n",ans);
}
return 0;
}F. Euclid’s nightmare
题意:给定$n$个$m$维向量,每个向量最多两维是$1$,其他都是0,问最多能生成多少个不同的$m$维向量,和最小生成这么多个向量的子集。
思路:并查集,每个向量看成一条边,然后连通分量的大小就是第二个答案,然后最大生成的向量个数就是$2^{size}$个,从小到大加入子集就满足字典序了。
#include<bits/stdc++.h>
using namespace std;
typedef long long ll;
const int N=5e5+5,M=2e4+5,inf=0x3f3f3f3f,mod=1e9+7;
#define mst(a,b) memset(a,b,sizeof a)
#define PII pair<int,int>
#define fi first
#define se second
#define pb push_back
int n,m,s[N];
int find(int x){
return x==s[x]?x:s[x]=find(s[x]);
}
int main(){
scanf("%d%d",&n,&m);
for(int i=1;i<=m+1;i++) s[i]=i;vector<int>ans;
for(int i=1;i<=n;i++){
int k;scanf("%d",&k);
int u,v=m+1;
scanf("%d",&u);
if(k==2) scanf("%d",&v);
u=find(u),v=find(v);
if(u!=v){
s[u]=v;
ans.pb(i);
}
}
ll t=1,sz=(int)ans.size();
for(int i=0;i<sz;i++) t=(t<<1)%mod;
printf("%lld %d\n",t,sz);
for(int i:ans) printf("%d ",i);printf("\n");
return 0;
}

