fix sph/pressure command

Syntax

fix ID group-ID sph/pressure style args
  • ID, group-ID are documented in fix command
  • sph/pressure = style name of this fix command
  • style = absolut or relativ or Tait
  • args = list of arguments for a particular style
absolut args = B
  B = coefficient
relativ args = B density0
  B = coefficient
  density0 = reference density
Tait args = B density0 gamma
  B = coefficient
  density0 = reference density
  gamma = isentropic exponent

Examples

fix pressure all sph/pressure absolut
fix pressure all sph/pressure Tait 60000. 1000. 7.

Description

The equation of state (EOS) for the SPH calculation is the link between the density field and the pressure field. A lot of different equations can be found in the literature.

The absolut style was the first implemented EOS. The calculation rule is

_images/fix_sph_pressure_abs.jpg

where &#961;<sub>a</sub> is the density of particle a and B is the pressure prefactor.

The relativ style uses the rule

_images/fix_sph_pressure_rel.jpg

as EOS. B denotes the pressure prefactor and &#961;<sub>0</sub> is the reference density.

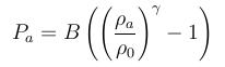
In case of Tait style the rule

_images/fix_sph_pressure_tait_eq1.jpg

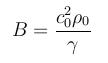
is applied. B denotes the pressure prefactor which is calculated by

_images/fix_sph_pressure_tait_eq2.jpg

where c<sub>0</sub> is the speed of sound of the material. &#961;<sub>0</sub> is the reference density and &gamma; is the isentropic exponent defined as cp/cv.

Note

Monaghan has found that the speed of sound could be artificially reduced. (Monaghan, 1994) Therefore, we can choose a greater time step. He argues that the minimum sound speed should be about ten times greater than the maximum expected flow speed. (&Delta;&#961; &lt; 1%)


Restart, fix_modify, output, run start/stop, minimize info

No informatino about this fix is written to binary restart files.

None of the fix_modify options are relevant to this fix.

No global scalar or vector or per_atom quantities are stored by this fix for access by various output commands.

No parameter of this fix can be used with the start/stop keywords of the run command.

This fix is not invoked during energy minimization.


Restrictions

One fix sph/density/summation (only dev-version) or sph/denstiy/continuity has to exist.