compute pressure command

Syntax

compute ID group-ID pressure general_keyword general_values temp-ID keyword ...
  • ID, group-ID are documented in compute command
  • pressure = style name of this compute command
  • general_keywords general_values are documented in compute
  • temp-ID = ID of compute that calculates temperature
  • zero or more keywords may be appended
  • keyword = ke or pair or bond or angle or dihedral or improper or kspace or fix or virial

Examples

compute 1 all pressure myTemp
compute 1 all pressure thermo_temp pair bond

Description

Define a computation that calculates the pressure of the entire system of atoms. The specified group must be “all”. See the compute stress/atom command if you want per-atom pressure (stress). These per-atom values could be summed for a group of atoms via the compute reduce command.

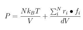
The pressure is computed by the formula

_images/pressure.jpg

where N is the number of atoms in the system (see discussion of DOF below), Kb is the Boltzmann constant, T is the temperature, d is the dimensionality of the system (2 or 3 for 2d/3d), V is the system volume (or area in 2d), and the second term is the virial, computed within LIGGGHTS(R)-PUBLIC for all pairwise as well as 2-body, 3-body, and 4-body, and long-range interactions. Fixes that impose constraints (e.g. the fix shake command) also contribute to the virial term.

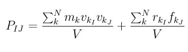
A symmetric pressure tensor, stored as a 6-element vector, is also calculated by this compute. The 6 components of the vector are ordered xx, yy, zz, xy, xz, yz. The equation for the I,J components (where I and J = x,y,z) is similar to the above formula, except that the first term uses components of the kinetic energy tensor and the second term uses components of the virial tensor:

_images/pressure_tensor.jpg

If no extra keywords are listed, the entire equations above are calculated which include a kinetic energy (temperature) term and the virial as the sum of pair, bond, angle, dihedral, improper, kspace (long-range), and fix contributions to the force on each atom. If any extra keywords are listed, then only those components are summed to compute temperature or ke and/or the virial. The virial keyword means include all terms except the kinetic energy ke.

The temperature and kinetic energy tensor is not calculated by this compute, but rather by the temperature compute specified with the command. Normally this compute should calculate the temperature of all atoms for consistency with the virial term, but any compute style that calculates temperature can be used, e.g. one that excludes frozen atoms or other degrees of freedom.

Note that the N in the first formula above is really degrees-of-freedom divided by d = dimensionality, where the DOF value is calcluated by the temperature compute. See the various compute temperature styles for details.

A compute of this style with the ID of “thermo_press” is created when LIGGGHTS(R)-PUBLIC starts up, as if this command were in the input script:

compute thermo_press all pressure thermo_temp

where “thermo_temp” is the ID of a similarly defined compute of style “temp”. See the “thermo_style” command for more details.


Output info:

This compute calculates a global scalar (the pressure) and a global vector of length 6 (pressure tensor), which can be accessed by indices 1-6. These values can be used by any command that uses global scalar or vector values from a compute as input. See this section for an overview of LIGGGHTS(R)-PUBLIC output options.

The scalar and vector values calculated by this compute are “intensive”. The scalar and vector values will be in pressure units.

Restrictions

none